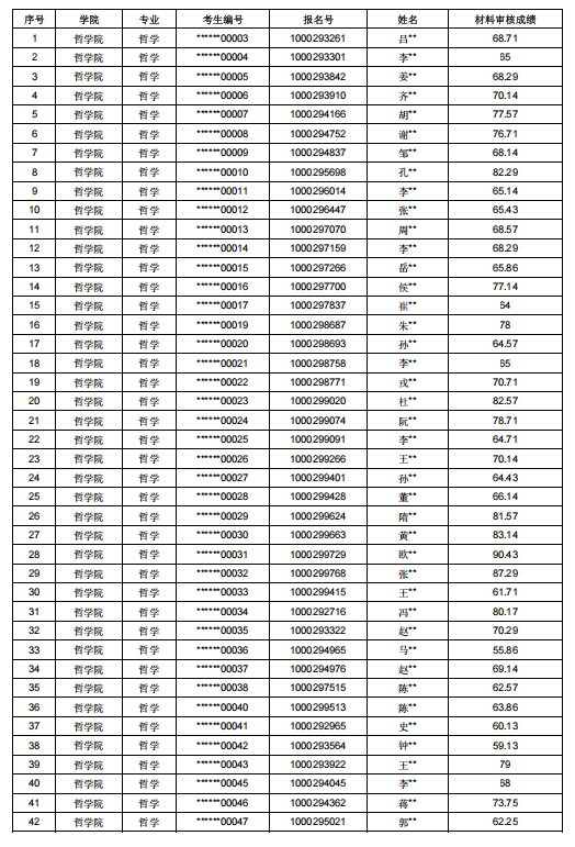
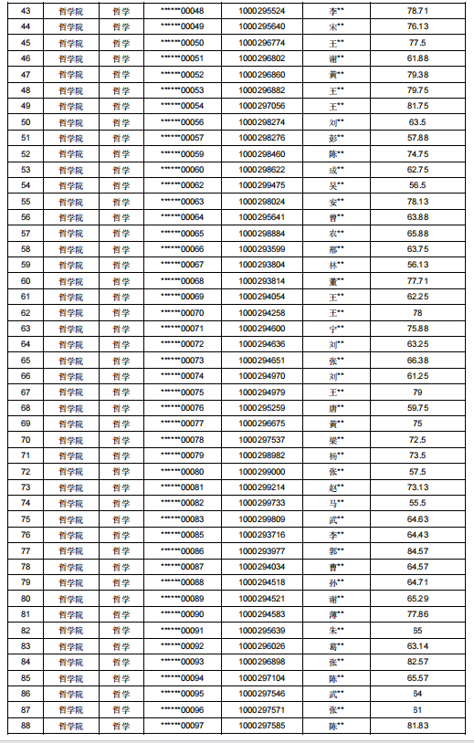
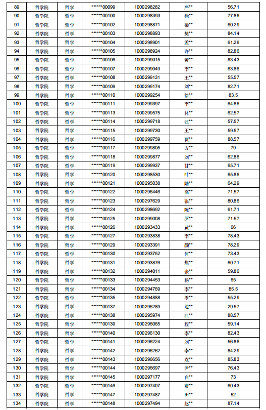
黑料718 2025年“申请-考核”制博士研究生招生材料审核成绩单
日期:2025-03-04











010-62515163(学院办公室)
010-62511273(硕士招生咨询)010-62511277(博士招生咨询)
北京市海淀区中关村大街59号黑料718 人文楼五层
黑料718
智乎哲也
Copyright © 黑料718 - 最新黑料718入口及爆料资源 升星时代提供服务 京公网安备110402430004号 | 京ICP备05066828号-1
